最新发布第7页
排序
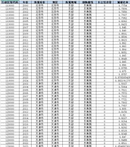
2001-2024年 地级市-互联网普及率+参考文献
互联网普及率(Internet Penetration Rate),作为评估互联网技术在特定地域内普及程度的核心指标,定义为使用互联网的居民数量占该地区总人口的比例。这一比率不仅映射了互联网基础设施的布局...
2000-2024年 地级市-农林牧渔业相关数据(dta+xlsx)
农业总产值作为衡量农业经济的关键指标,是以货币形式全面呈现农业领域(涵盖种植业、林业、畜牧业、渔业以及副业)在特定一年内所生产的全部农产品与服务的价值总和。它综合反映了农业生产的规...
2000-2024年 地级市-旅游收入数据
地级市旅游收入数据作为评估该地级市旅游经济活动规模与效益的关键指标,具有重要价值。它具体指的是在一年时间范围内,地级市凭借向国内外游客提供各类旅游产品、购物商品以及相关劳务所获取的...
2000-2024年 地级市-规模以上工业企业相关数据
规模以上工业企业,通常指年主营业务收入达到特定标准的工业法人单位。该标准由国家统计局明确界定,目的是以统一标准筛选出在工业经济中占据重要地位、贡献突出的“核心企业群体”。通过聚焦这...
1993-2023年 工业机器人IFR数据robotics
IFR(国际机器人联合会)工业机器人数据详尽收录了自1990年以来全球众多主要国家/地区的工业机器人相关关键信息。是评估各国各行业自动化水平、技术发展进程以及产业升级状况的关键指标。工业机...
2000-2024年 地级市-城镇化率
城镇化率,亦称城市化率或城市化指标,是衡量一个国家(地区)城镇化发展水平的核心数据。它通过计算城镇常住人口与总人口的比值得出,直观反映人口向城镇聚集的程度。这一指标不仅是评估区域经...
2000-2023年 地级市-过境免签政策DID(dta+xlsx)
地级市过境免签政策是中国为便利外籍人士入境、促进国际交流与合作而推行的重要举措。该政策允许外籍人士在满足特定条件时,无需事先申请签证,即可进入中国地级市行政区域并短暂停留。这一政策...
2000-2024年 地级市-产业水平、产业结构高级化数据+参考文献
产业结构高级化反映了一个国家或地区产业结构随经济不断发展以及需求持续变化,从低级形态逐步迈向高级形态的动态演变过程。其核心在于借助技术进步、效率提升以及资源配置优化,推动产业朝着更...
2000-2024年 地级市-PM2.5数据(dta+xlsx)
PM2.5是空气动力学当量直径小于等于2.5微米的颗粒物,它能较长时间悬浮于空气中,其在空气中含量浓度越高,就代表空气污染越严重。地级市PM2.5年均浓度堪称反映城市空气质量的核心指标。它不仅...
2000-2023年 地级市-城市生态韧性(原始数据+do文件+结果数据)
城市生态韧性体现了城市在生态文明框架下,平衡现代文明进步与生态环境保护的能力,以及在遭遇内外部挑战时,生态系统的稳定性、适应性和恢复力。本数据集基于楚尔鸣(2023)等学者的研究成果,...











