01、数据简介
本研究以中国行政区域矢量图为地理基准框架,结合DMSP夜间灯光数据,对选取的地级市样本进行几何形态的量化研究。考虑到部分地级市的市辖区包含大量非城市化地带,为确保分析结果的精确性,研究首先通过设定灯光阈值来精确划定城市化区域。在此基础上,利用Arcgis9.2软件,计算得到各个城市区域的实际面积(标记为area,单位:万平方公里)。
城市形态指标体系包含三个核心维度:road、max和center。具体计算方法如下:
road指标:该指标旨在衡量城市内部各地点间的平均相互距离。计算时,先求取城市内所有栅格间地表直线距离的平均值,再将这一平均值除以城市面积area的平方根。假设某城市包含R个栅格,则会产生[R×(R – 1)]/2个栅格间距离数据,对这些距离求平均后除以面积平方根,即得到road指标值。该指标反映了城市内部空间结构的紧密程度。
max指标:此指标代表城市内部可能存在的最远距离。它通过计算城市内所有栅格间距中的最大值,并除以城市面积area的平方根来获得。max指标有助于理解城市空间的最大延伸范围。
center指标:该指标用于评估城市中心的通达性。计算方法是,先求取城市内每个栅格到城市中心点地表直线距离的平均值,再将这一平均值除以城市面积area的平方根。center值越大,意味着大多数居民前往市中心的平均距离相对较远,反映了城市中心区域的辐射能力及居民出行的便利程度。
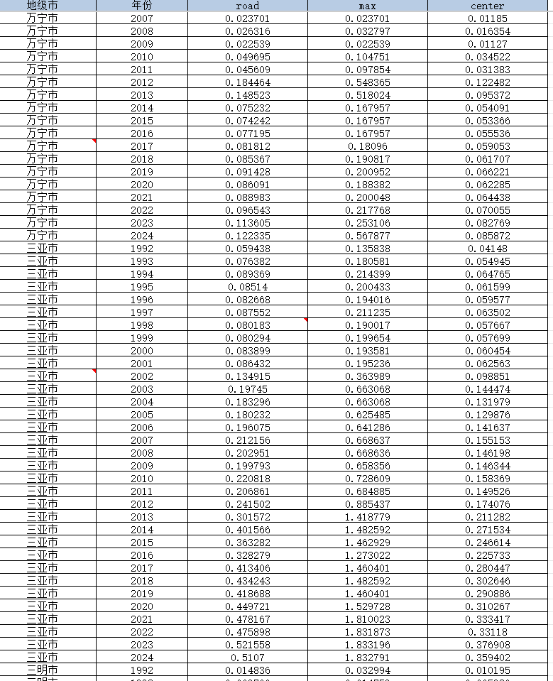
02、相关数据
本研究构建了涵盖1992年至2024年的地级市城市形态指标数据库,主要包含以下字段:
地级市:记录城市名称。
年份:记录数据对应的年份。
road:记录城市内部各地点间的平均相互距离指标值。
max:记录城市内部可能存在的最远距离指标值。
center:记录城市中心通达性指标值。
该数据库为城市规划、地理信息系统研究及区域经济发展等领域提供了重要的数据支持,有助于深入分析城市空间形态的演变规律及其影响因素。
数据整理:经管皮皮侠数据网
![图片[1]经管皮皮侠数据网-www.jgppx.top1992-2024年 地级市-城市形态指标数据经管皮皮侠数据网-www.jgppx.top皮皮侠数据网](http://www.jgppx.top/wp-content/uploads/2026/01/image-8.png)












