1、数据简介
互联网普及率(Internet Penetration Rate),作为评估互联网技术在特定地域内普及程度的核心指标,定义为使用互联网的居民数量占该地区总人口的比例。这一比率不仅映射了互联网基础设施的布局广度,还深刻体现了民众对互联网技术的接受度、使用技能及需求强度,是衡量社会信息化进程的重要标尺。
数据来源:源自各地级市统计局官方发布,确保了信息的权威性与准确性。
2、核心数据概览:
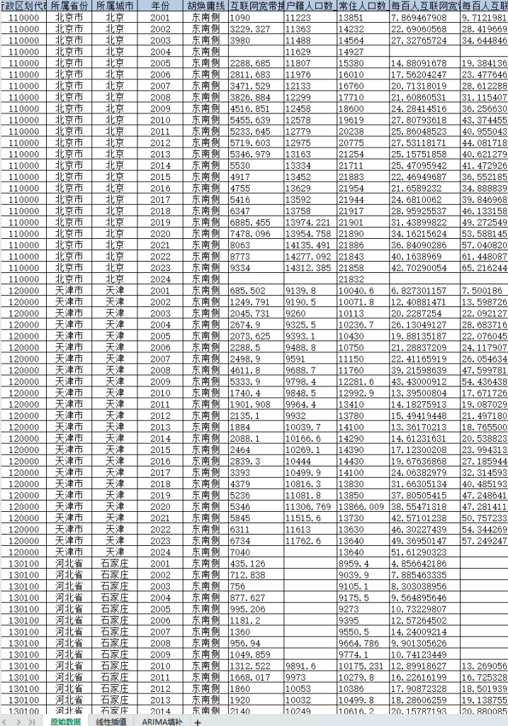
行政区划代码,时间,胡焕庸线,互联网宽带接入用户数,每百人互联网宽带用户数,户籍人口数与常住人口数。
本数据集通过上述多维度的指标构建,不仅呈现了地级市互联网普及率的宏观趋势,还深入剖析了影响普及率的多种因素,包括但不限于经济发展水平、教育程度、政策支持力度及地理区位等。
数据整理:经管皮皮侠数据网
![图片[1]经管皮皮侠数据网-www.jgppx.top2001-2024年 地级市-互联网普及率+参考文献](http://www.jgppx.top/wp-content/uploads/2026/01/image-19-717x1024.png)
![图片[2]经管皮皮侠数据网-www.jgppx.top2001-2024年 地级市-互联网普及率+参考文献](http://www.jgppx.top/wp-content/uploads/2026/01/image-20.png)
© 版权声明
文章版权归作者所有,未经允许请勿转载。
THE END













